Ecuaciones
lineales y solución de problemas
Resuelve el siguiente problema.
Desarrolla el procedimiento e incorpora la solución.
Desarrolla el procedimiento e incorpora la solución.
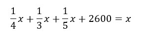
Planteamiento del problema:
Miriam organiza sus gastos de la siguiente manera:
• La cuarta parte de su salario es para alimentos y pagos de
su casa.
• Un tercio de su salario lo gasta en su auto.
• Un quinto lo gasta en entretenimiento.
• Lo que le sobra, $2600, los ahorra.
¿Cuál es el salario de Miriam?
Desarrollo:
Analizando la información tenemos
que la cantidad de cada una de las partes de sus gastos puede escribirse como:
La cuarta parte de su
salario es para alimentos y pagos de su casa= ¼ x
Un tercio de su salario lo gasta en su auto= 1/3 x
Un quinto lo gasta en entretenimiento= 1/5 x
Lo que le sobra, $2600, los ahorra= 2600
Lo cual se resuelve encontrando un común denominador que en
este caso sería 60, para después multiplicar por el numerador y obtener
numeradores que se servirán para resolver la ecuación.
Luego se agrupan términos
semejantes del lado izquierdo y la cantidad conocida del lado derecho para
poder encontrar una incógnita y para poder hacer una igualdad, pasando la x de lado derecho al lado izquierdo
de positivo a negativo y la cantidad conocida del lado izquierdo al lado
derecho también como negativo quedando:
Se efectúa la suma de fracciones:
Entonces:
Solución: la expresión algebraica con la que se puede calcular el salario
total de Miriam es:
Y el salario total de Miriam es 12,000 pesos.
Puedes descargar ésta actividad dando click en la siguiente imagen se abrirá una ventana emergente, verifica que tu navegador no bloquee las ventanas emergentes para que puedas ver la tarea que esta en Onedrive.
Fuentes de información:
·
Prepa en línea SEP (2016), Extenso 2 unidad 2 parte 1, recuperado
el 07 de abril de 2016, sitio web: http://148.247.220.212/c4/mod/resource/view.php?id=4442
·
Prepa en línea SEP (2016), Extenso 2 unidad 2 parte 2, recuperado
el 07 de abril de 2016, sitio web: http://148.247.220.212/c4/mod/resource/view.php?id=4443








No hay comentarios.:
Publicar un comentario
Agradezco tus comentarios, nos motiva a mejorar la página.