“Técnicas para calcular límites” https://youtu.be/ZIh34mB_J0Q
2. Tomando como base los procedimientos mencionados en el video, desarrolla en un documento de procesador de textos, la solución de las siguientes funciones:
Nota: En caso de que no se pueda realizar, explica las razones.
Para calcular el límite de esta ecuación solo se reemplaza n por 4, es decir cuando n tiende a 4 en la ecuación, quedando:
Como se puede ver el resultado es cuatro sobre cero 4/0 lo que conoce como indeterminación y como no hay manera de factorizar ni multiplicar por su conjugado a la ecuación, entonces se puede decir que no tiene solución.
Para calcular el límite de esta ecuación solo se reemplazan 16, es decir cuando n tiende a 16 en la ecuación, quedando:
Como se puede ver el resultado es cero sobre cero 0/0, lo que conoce como indeterminación y como no hay manera de factorizar ni multiplicar por su conjugado a la ecuación, entonces se puede decir que no tiene solución.
Sustituyendo 3 en la ecuación resulta una indeterminación como se ve a continuación:
Por lo que para encontrar la solución se debe factorizar tanto el numerador como el denominador, quedando de la siguiente manera.
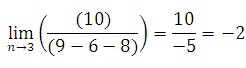
Por lo que al calcular el limite se obtiene que la solución es 2 negativo.
Para la siguiente ecuación se procede a reemplazar en x, el valor de 1, quedando:
Fuentes de información:
· Recuperado el 30 de noviembre de 2016, sitio web: https://youtu.be/ZIh34mB_J0Q
· Recuperado el 30 de noviembre de 2016, sitio web: https://youtu.be/oBE4susyH_o
· Recuperado el 30 de noviembre de 2016, sitio web: https://www.youtube.com/watch?v=rloRY9Hlikg
















No hay comentarios.:
Publicar un comentario
Agradezco tus comentarios, nos motiva a mejorar la página.